Enlaces accesibilidad

La cocaína no es químicamente igual que el azúcar: ¿por qué las comparan en redes?

  • En redes sociales se ha hecho viral un mensaje que afirma que la única diferencia es que al azúcar le falta el átomo de nitrógeno. Te lo explicamos
  • Envíanos consultas al 659 800 555 o a verificartve@rtve.es
Cocaína y azúcar: mensaje engañoso que circula en redes comparando ambas sustancias
María Navarro / Paula Peña / VerificaRTVE

En redes sociales circula un mensaje en el que comparan el azúcar y la cocaína por su fórmula química explicando que "solo se diferencian en el átomo de nitrógeno" y afirmando que ambas producen "una adicción poderosa". Es engañoso. La cocaína y el azúcar son sustancias químicamente distintas y su poder adictivo no tiene el mismo efecto sobre la salud.

"La fórmula química de la cocaína es C17H21NO4. La fórmula el azúcar es C12H22O11. La diferencia es que al azúcar le falta el átomo de nitrógeno", leemos en un mensaje de X compartido más de 1.300 veces y que acumula más de 1.700 ‘me gusta’. La publicación va acompañada de una imagen con las fórmulas químicas del azúcar y la cocaína y un texto en el que afirman que ambas sustancias "producen una adicción poderosa". Añaden que "el azúcar no aporta ningún nutriente y que acidifica el cuerpo dando un medio adecuado para alojar cáncer, bacterias, virus y hongos".

La clave no es la fórmula de estas sustancias, sino su estructura química

Es engañoso afirmar que la cocaína y el azúcar “solo se diferencian en el átomo de nitrógeno”. Si observamos la composición de la sacarosa (azúcar), que es C12H22O11, y la composición de la cocaína, que es C17H21NO4, vemos que ambas sustancias contienen carbono, hidrógeno y oxígeno y que, efectivamente, la sacarosa no contiene nitrógeno. Pero esta no es la única diferencia.

Tal y como explica a VerificaRTVE el catedrático emérito de Toxicología de la Universidad de Santiago de Compostela Manuel López-Rivadulla, a la hora de valorar los compuestos "lo que importa es la estructura" porque "es realmente la responsable de los efectos tanto positivos como negativos" en nuestro organismo. Esta “es la que confecciona el mecanismo por el cual una sustancia se introduce en el organismo y produce unos efectos". Según explica, la estructura "se une a otros elementos químicos que tenemos de forma natural en el organismo (que son los receptores y son también sustancias químicas) y por así decirlo, la molécula interacciona y es lo que produce los efectos".

En el caso concreto que aparece en la publicación difundida, López-Rivadulla expone que "la fórmula así no indica nada" porque "expresa única y exclusivamente el número de átomos de carbono, de hidrógeno y de oxígeno que puede tener una molécula". Y la estructura de la sacarosa (azúcar), "no tiene nada que ver" con la de la cocaína.

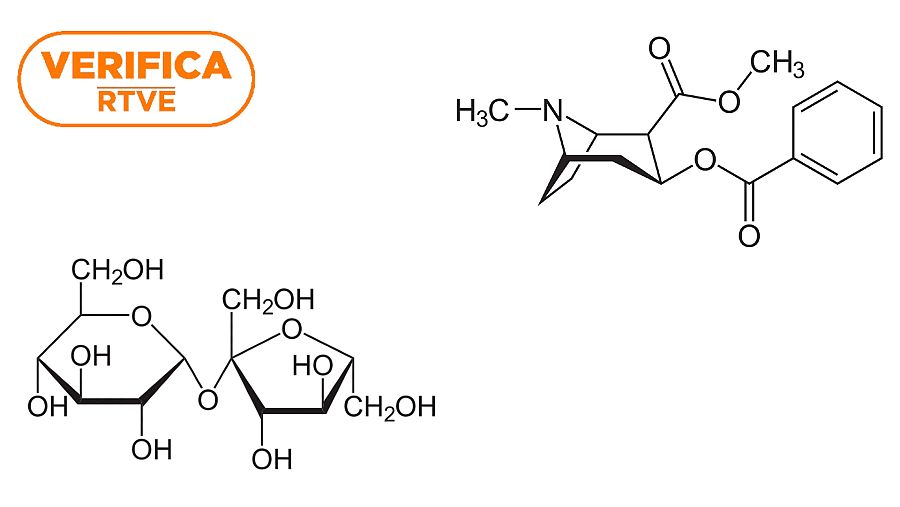
Coincide con este argumento el investigador del Instituto de Química Orgánica del CSIC Bernardo Herradón: "Las propiedades de una molécula dependen de su estructura, que es la manera en que están conectados los átomos". Explica que comparar ambas estructuras, es como comparar "a las personas que aparecen en Las señoritas de Avignon (de Picasso) y Las Meninas (de Velázquez): en ambos cuadros hay personas, pero nadie las relacionaría". En la imagen inferior puedes comprobar que las estructuras químicas de la sacarosa y de la cocaína son diferentes.

A la izquierda, la estructura química de la sacarosa (azúcar). A la derecha la estructura química de la cocaína. Con el sello VerificaRTVE en color naranja.

A la izquierda, la estructura química de la sacarosa (azúcar). A la derecha la estructura química de la cocaína. VerificaRTVE

Hay más sustancias con los mismos elementos químicos

Tal y como indica Bernardo Herradón, investigador del Instituto de Química Orgánica del CSIC, "hay millones de compuestos químicos que se diferencian solo en un átomo, pero que tienen propiedades totalmente distintas; por ejemplo, el agua (H20) y el hidrógeno (H2)".

La Doctora en Ciencias Químicas Marta Abellán Flos también señala que la sacarosa (azúcar) y la cocaína "no son compuestos comparables en absoluto" y que las afirmaciones del mensaje que ha circulado comparándolos "no tienen ningún rigor ni base científica".

El azúcar y la cocaína son adictivos, pero no al mismo nivel

Los expertos consultados por VerificaRTVE subrayan que la cocaína y el azúcar son sustancias adictivas, pero no son comparables. Según explica el Instituto Nacional sobre el Abuso de Drogas de Estados Unidos (NIDA), la cocaína provoca un "aluvión de dopamina en el circuito de recompensa del cerebro" y esto "refuerza poderosamente la conducta de consumir la droga".

Tal y como indica el investigador Bernando Herradón, "toda actividad que produce satisfacción genera neurotransmisores, especialmente la dopamina" pero la cocaína "mata neuronas", al mantenerlas "en una situación de excitación que acaba con la neurona".

El toxicólogo Manuel López-Rivadulla incide en que "para nada se parece a los efectos deletéreos que en un momento determinado puede plantear el consumo de cocaína con el consumo de azúcar". Como recuerda el Ministerio de Sanidad, "a medio y largo plazo, el consumo de cocaína puede producir problemas físicos y psicológicos además de adicción".

La Doctora en Ciencias Químicas Marta Abellán Flos subraya que "la adicción al azúcar se ha demostrado muy elevada, incluso comparada a drogas como la cocaína, pero sus peligrosidades no son comparables".

Afirmaciones falsas sobre el azúcar

Las afirmaciones sobre el azúcar que aparecen en el tuit que se ha viralizado son falsas y no tienen ningún sustento científico, según los expertos consultados.

Para López-Rivadulla, "el azúcar es necesario y bueno para el cerebro, lo que ocurre es que no se puede tomar en grandes cantidades, porque puede provocar diabetes tipo 2 u obesidad".

El investigador Bernardo Herradón, también subraya los beneficios del azúcar: "Es una fuente de energía y material de partida para la síntesis de otras moléculas fundamentales de la química". Insiste en que el azúcar "es un alimento esencial" y que, sin él, “el cerebro no funciona". En cuanto a los problemas que puede provocar el azúcar para la salud, Herradón explica que, "puesto que aporta mucha energía, si no se elimina adecuadamente con una vida activa, produce obesidad" y, "en las personas con un problema de 'gestión' del metabolismo de la glucosa (diabetes), su exceso en sangre puede provocar una diversidad de problemas de salud".

La recomendación de la OMS es que "el consumo de azúcares debe representar menos del 10% de la ingesta calórica total diaria" y "si la ingesta calórica total diaria se reduce a menos del 5% se obtendrán beneficios adicionales".