ACTIVIDADES. PARTE 1

Actividades correspondientes al intervalo del visionado del vídeo: 0 min 0 seg hasta 6 min 07 seg.

 


 

Realiza las siguientes actividades tras visonar la parte correspondiente del vídeo.

Icono de iDevice

FRASE CÉLEBRE.

Completa la siguiente frase que acabas de ver en el vídeo.

Si he a ver más que otros, es me subí a hombros de .

Isaac Newton.

  

Icono de IDevice de pregunta

LAS VACACIONES DE NEWTON.

1.- ¿Por qué tuvo Newton que tomar unas vacaciones?
  
a) Estaba aburrido de tanto estudiar.
b) Debido a la peste que había en Londres.
c) Newton sabía más que sus profesores.

 

2.- ¿Qué estudios realizó Newton durante su retiro en su pueblo natal?

  
a) La fuerza con la que caía una manzana
b) Estudió el arcoiris, las manzanas y la fluidez del sonido.

c) Estudió la composición de la luz, la gravitación universal y el método de las fluxiones.


3.- ¿Cómo consiguió Newton estudiar la composición de la luz?
  
a) A través de un agujero en su ventana y un prisma de cristal.
b) Mirando al sol por el día y a las estrellas de noche.
c) Con el telescopio que el mismo construyo.

LA REFRACCIÓN DE LA LUZ

Cuando la luz pasa de un medio material a otro cambia su dirección; este fenómeno se denomina refracciónEl arcoiris producido cuando la luz atraviesa un prisma óptico es un buen ejemplo de refracción de la luz. Es debido a que la luz está formada por numerosas ondas de diferentes longitudes; cada una de ellas se refracta de una manera diferente.

La siguiente escena te permite manipular el arcoiris. Pulsa sobre los botones que aparecen en la escena: A22 y E22 para obtener más información. 


Escena extraída de la unidad didáctica: Óptica. Realizada por C. Palacios y J.L. San Emeterio, para el proyecto Newton.

LOS PRIMEROS TRABAJOS DE NEWTON.

Durante sus vacaciones Newton estuvo trabajando en varios campos. Entre las siguientes afirmaciones hay algunas verdaderas y otras falsas. Señala tu opción según lo que has escuchado en el vídeo.


1.- El telescopio de Newton era más largo que los antiguos por eso se veía mejor.

Verdadero Falso


2.- El invento de su telescopio le sirvió a Newton para ingresar en la Real Society.

Verdadero Falso


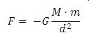
3.- La fórmula de la ley de gravitación universal nos dice que la fuerza con la que se atraen dos cuerpos es directamente proporcional al producto de sus masas e inversamente proporcional al cuadrado de la distancia que las separa.

 


Verdadero Falso

LA PRIMERA LEY DE NEWTON. LA LEY DE LA INERCIA.

En ausencia de fuerzas externas un cuerpo permanece en reposo si su velocidad inicial es cero y se mueve con movimiento uniforme, con velocidad constante, si tiene velocidad inicial en el momento que observamos la ausencia de fuerzas.

Según esta ley y según hemos visto en el vídeo, la Luna no sale despedida porque es atraída por la Tierra. Observa la siguiente escena, en ella puedes ver un objeto (podría ser la Luna) que gira en una órbita circular porque una fuerza tira de él hacia el centro. ¿Qué ocurriría si dicha fuerza no existiera? Haz el experimento con la escena.

Esta unidad interactiva requiere la máquina virtual de Java J2RE.

Escena extraída de la unidad didáctica: Leyes de la dinámica. Realizada por J. Villasuso, para el proyecto Newton.

APLICACIONES DE LOS TRABAJOS DE NEWTON

¿En qué campos se aplican los estudios de Newton?
a) Caída de cuerpos y choques.
b) Propagación del sonido.
c) Trayectoria de proyectiles.



2.- ¿Qué cosas cotidianas pueden hacerse gracias a Newton?
a) Viajar en tren.
b) Ver la TV vía satélite.
c) Hablar con el móvil.