ACTIVIDADES. PARTE 3

Actividades correspondientes al intervalo del visionado del vídeo: 14 min 31 seg hasta 18 min 37 seg.

 


 

Realiza las siguientes actividades tras visonar la parte correspondiente del vídeo.

MATEMÁTICAS Y REALIDAD

Las siguientes frases son verdaderas o falsas. Elige tu opción.


1.- El número Pi se utiliza para calcular la masa de la Luna, la capacidad del depósito del combustible y la distancia de Madrid a Nueva York.

Verdadero Falso


2.- Para hacer un estudio de una población se utiliza la campana de Gauss y su área es el número π

Verdadero Falso


3.- Lambert demostró en 1761 que Pi no se puede poner como una fracción, esto significa que sus cifras decimales se repiten una y otra vez hasta el infinito

Verdadero Falso


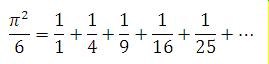
4.- Euler en el Siglo XVIII demostró la siguiente igualdad:


Verdadero Falso


5.- Al ser Pi un número irracional no es posible utilizar todos sus decimales, ello conlleva un error en los cálculos. Por ejemplo, si utilizamos los once primeros decimales el error al calcular la longitud de la circunferencia de la Tierra sería menor de 1 m.

Verdadero Falso

PI EN EL AMAZONAS

En el vídeo acabamos de ver la relación que hay entre los ríos largos y de suave pendiente como: el Amazonas, el Misissipi o los rios Siberianos. ¿Sabrias completar la frase?

 

Icono de iDevice

FRASE CÉLEBRE

Observa la imagen en la que aparece la longitud del río siguiendo los meandros (naranja) y en línea recta desde su desembocadura hasta su nacimiento (marrón). Completa la frase. 
El cociente entre la de un río siguiendo sus meandros y la longitud en línea desde su desembocadura hasta su es un número ligeramente a 3,14.