ACTIVIDADES. PARTE 1

Actividades correspondientes al intervalo del visionado del vídeo: 0 min 0 seg hasta 7 min 21 seg.

 


 

Realiza las siguientes actividades tras visonar la parte correspondiente del vídeo.

Icono de iDevice

FRASE CÉLEBRE

G.H. Hardy (Foto de la wikipedia), Matemático Británico 1877 - 1947, afirma la siguiente frase que has podido ver en el vídeo.
¿Sabrías rellenar los huecos?
Las ideas de los , como las de los pintores o los , deben ser bellas. La belleza es el requisito, no hay lugar permanente en el para unas
matemáticas .
  

Icono de IDevice de pregunta

RAMANUJAN Y PI

1.- ¿Quién le mandó una carta a Hardy?

  
a) Un famoso Matemático Indio
b) Un contable Indio.
c) Un estudiante de la Universidad de la India.

2.- ¿Qué tipo de estudios realizó Ramanuján, que le contaba en su carta a Hardy?
  
a) Recitaba los primeros 100 números del número Pi.
b) Los resultados obtenidos en su estudio de las series divergentes.

c) Los trucos que utilizaba para calcular Pi.


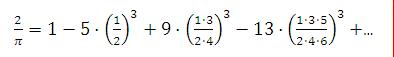
3.- ¿Cuál es una de las fórmulas con las que trabajo Ramanujan?
  

4.- ¿Qué tiene de especial el nº de matrícula 1729?
  
a) Es el primer nº que puede escribirse como:              13 123 = 93 103 = 1729
b) Es el primer nº que puede escribirse como:               12 122 = 92 102 = 1729

NÚMEROS CÚBICOS.
 
Los números cúbicos son aquellos que obtenemos al elevar al cubo los sucesivos números naturales:
13 = 1; 23 = 8; 33 = 27; .....
Pero también podemos construir estos números geométricamente,

SERIES INFINITAS

1.- ¿Cuáles de las siguientes afirmaciones son ciertas en una serie infinita?

a) Es una expresión formada por sumas de infinitos términos
b) Es una expresión formada por productos de infinitos términos.
c) Los términos mantienen una estructura común.



2.- En el vídeo se habla de tres series infinitas que nos permiten calcular aproximaciones al número π, señala cuales de las siguientes afirmaciones son ciertas.
a) Las series de Wallis y Leibnitz-Gregory se aproximan rápidamente al número Pi.
b) La serie de Ramanuján es mejor que las anteriores pues permite acercarse más rápido al nº Pi.
c) En la serie de Ramanuján cada nuevo sumando proporciona 8 decimales exactos al número Pi



FACTORIAL DE UN NÚMERO

La siguiente escena permite calcular el factorial de un número cualquiera que puedes introducir. Haz algunas pruebas y después calcula los factoriales que aparecen en el ejercicio de debajo de la escena.

Esta unidad interactiva requiere la máquina virtual de Java J2RE.

Escena realizada por Miguel A. Cabezón Ochoa, para el proyecto Descartes.
Icono de iDevice

Calcula los siguientes factoriales:

Utiliza la escena anterior para hacer los cálculos y rellena los huecos:
7! = ; = 479001600; = 1307674368000