ACTIVIDADES. PARTE 3

Actividades correspondientes al intervalo del visionado del vídeo: 11 min 47 seg hasta 15 min 06 seg.

 


 

Realiza las siguientes actividades tras visonar la parte correspondiente del vídeo.

GALILEO GALILEI.

Las siguientes frases son verdaderas o falsas. Elige tu opción.


1.- Galileo en el mundo terrestre intentó descubrir las leyes que rigen los movimientos de los cuerpos.

Verdadero Falso


2.- La trayectoria de lanzamiento de una bala de cañon es un arco de circunferencia.

Verdadero Falso


3.- Galileo fue el creador de la cinemática.


Verdadero Falso


4.- Gracias al telescopio, Galileo descubrió que la Luna tiene volcanes.


Verdadero Falso


5.- Galileo desterró la idea de que la Tierra era el centro del universo y casi le costó la vida.

Verdadero Falso

EL TIRO PARABÓLICO.

Uno de los movimientos que estudió Galileo fue la trayectoria de una bala de cañon. Observa la siguiente escena y experimenta con ella cambiando los valores del ángulo de tirada y la velocidad inicial. Después realiza las actividades que tienes debajo de la escena.
 
Para comenzar haz clic sobre el botón. 
Esta unidad interactiva requiere la máquina virtual de Java J2RE.

Escena extraída de la unidad: Movimientos III. Elaborada por: Luis Ramirez Vicente, para el proyecto Newton..
Icono de IDevice de pregunta

SOBRE EL TIRO PARABÓLICO.

1.- Situa la escena como al principio haciendo clic en inicio. ¿Qué distancia recorre el proyectil?
  
a) x = 65 m
b) x = 63 m
c) x = 64 m

2.- Manten fijo el ángulo de 45º y vamos cambiando la velocidad. Señala cuál es correcta.
  
a) Velocidad 30 m /sg, distancia x = 40 m
b) Velocidad 20 m /sg, distancia x = 40 m

3.- ¿Qué ocurre cuando mantenemos fijo la velocidad de tiro y variamos el ángulo? Prueba en la escena con ángulos mayores de 45º, con el de 45º y menores de 45º.
  
a) La distancia aumenta al aumentar el ángulo de tiro.
b) La distancia máxima se alcanza para el ángulo de 45º.
c) (La distancia aumenta al disminuir el ángulo de tiro.

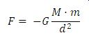
NEWTON

De entre las siguientes afirmaciones elige las que sean falsas.

Newton descubrió la ley de la gravitación universal, que es válida para cuerpos que estén en la Tierra.

 


 

Según Newton la fuerza que hace que una manzana caiga al suelo, es la misma que hace que la Luna se mantenga en su órbita girando entorno a la Tierra.
Newton necesitó nuevas herramientas matemáticas para sus estudios, el cálculo diferencial e integral.



LA PRIMERA LEY DE NEWTON. LA LEY DE LA INERCIA.

En ausencia de fuerzas externas un cuerpo permanece en reposo si su velocidad inicial es cero y se mueve con movimiento uniforme, con velocidad constante, si tiene velocidad inicial en el momento que observamos la ausencia de fuerzas.

Según esta ley y según hemos visto en el vídeo, la Luna no sale despedida porque es atraída por la Tierra. Observa la siguiente escena, en ella puedes ver un objeto (podría ser la Luna) que gira en una órbita circular porque una fuerza tira de él hacia el centro. ¿Qué ocurriría si dicha fuerza no existiera? Haz el experimento con la escena.

Esta unidad interactiva requiere la máquina virtual de Java J2RE.

Escena extraída de la unidad didáctica: Leyes de la dinámica. Realizada por J. Villasuso, para el proyecto Newton.